In many instances, tolerance for intimate partner violence (IPV) exists even among its victims, with women justifying their partners' behaviour as a coping mechanism. This article investigates the causal effect of IPV on attitudes towards violence, and the extent to which the length of exposure to abuse impacts that. Exploiting differences in legal drinking age across states, it finds that a lower drinking age increases exposure to violence, which in turn leads to an increase in wives' tolerance towards it.
Intimate partner violence (IPV) is a global issue, and often, it is rationalised as a way to discipline women who do not conform to traditional household roles. A widespread tolerance for IPV exists even among its victims. Psychology suggests that victims adjust their attitudes to make sense of their experiences and maintain consistency between their attitudes and behaviours (Goodfriend and Arriaga 2018). This coping mechanism becomes even more salient when divorce – a potential avenue to escape – is socially stigmatised.
Traditionally, violence prevention strategies emphasise the role of shifting attitudes in order to reduce IPV. However, the factors influencing attitudes towards these harmful practices remain unexplained. In my Job Market Paper (Frezza 2023), I study the causal effect of IPV on victims’ attitudes, and I turn the lens on whether tolerance of violence can act as a coping strategy, particularly under prolonged exposure to abuse and in contexts where divorce is not a viable option.
The dynamics of tolerance in prolonged intimate partner violence
The main challenge in addressing this question is that the victims’ experience and tolerance of violence may mutually reinforce each other. For instance, if women cannot leave the relationship, they might justify their partners' aggressive behaviours (the coping mechanism). Conversely, women with a higher tolerance of violence might self-select into abusive relationships ( the risk factor mechanism). These mechanisms may intertwine, forming a vicious cycle. As a result of such simultaneity bias, the relationship between violence and its tolerance is endogenous. Moreover, the relationship between experiencing violence and its tolerance may vary depending on whether we consider violence an isolated event or a recurrent issue.
Assuming violence can be a recurrent issue, I identify the causal effect of IPV both theoretically and empirically. I use a simple conceptual framework to explain how, in settings where divorce is not an option, the relationship between IPV and attitudes towards may vary depending on the length of exposure to abuse. In the short term, a victim might think violence is a one-off incident. Over time, with ongoing abuse, she may begin to internalise this violence, leading to an increased tolerance. This recalibration of expectations is progressive – the longer the exposure to IPV, the more likely it is that victims will rationalise and normalise the violence they have experienced as a coping strategy.
Breaking the cycle: Effect of IPV on tolerance towards violence
I empirically test this hypothesis in the context of India. India falls within the category of countries with the second highest prevalence of intimate partner violence in the world (World Health Organization, 2021), with 31.7% of women experiencing IPV in their lifetime and 46% deeming it acceptable under certain circumstances. Moreover, divorce rates are extremely low; the 2011 Indian census records 1.36 million divorced individuals, constituting a mere 0.24% of the ever-married population (Jacob and Chattopadhyay 2016). To isolate the causal effect of IPV on tolerance towards it, I leverage variations in the minimum legal drinking age (MLDA). The rationale behind this is that alcohol consumption often results in altered cognitive and physical capacities, potentially escalating the risk of inflicting violence due to reduced self-regulation. By leveraging the variation in the legal drinking age, I exploit a difference in alcohol consumption that is likely to increase the perpetration of violence, which, in turn, may affect the tolerance towards it.
To analyse the causal relationship between IPV and attitudes in the short term, I use a regression discontinuity design. Specifically, I study the impact of the prevalence of violence in the last 12 months on victims’ tolerance thereof. I compare observationally equivalent couples who differ on whether their husband’s age is just above or below the minimum legal drinking age at the month of the interview.
I use data from the 2005, 2015 and 2020 cycles of the National Family and Health Survey (NFHS) to measure the prevalence of IPV violence and the attitudes towards it. Victims’ tolerance of violence is assessed based on responses to questions regarding the justification of wife-beating under various scenarios, such as going out without permission, neglecting children, arguing, burning food, refusing sex, infidelity, or disrespecting in-laws. The NFHS collects information on the experience of IPV from a subsample of eligible women. For the analysis, I use the couple datasets, where the unit of observation is at the couple level.
To study the long-term effects of IPV on attitudes, I use an event study approach, comparing couples in Indian states with different legal drinking ages – 21 in some states and 25 in others. The hypothesis is that husbands who are allowed to drink after 21 are also more likely to start drinking earlier compared to husbands residing in states where the MLDA is 25. Thus, the age at drinking – holding constant the duration of marriage – should affect the timing of the onset of violence. As a result, the duration of abuse is likely to be higher among couples residing in states where the partners are legally allowed to drink at a younger age. This variation in MLDA across states enables me to investigate how the length of exposure to violence in the long term affects the attitudes towards it.
Short- and long-term effects of IPV on tolerance towards violence
In the short term, as the husbands reach the minimum legal drinking age, their wives’ likelihood of experiencing IPV during the past year increases by 30%, and the likelihood of experiencing any frequent form of violence increases by 80% (that is, 4-5 percentage points), with no changes in tolerance (Figure 1).
Figure 1. Short-term effects of IPV on tolerance
Note: The figure presents prevalence of IPV and wives’ tolerance against the age of the male partner (in months), with the dotted line representing the minimum legal drinking age.
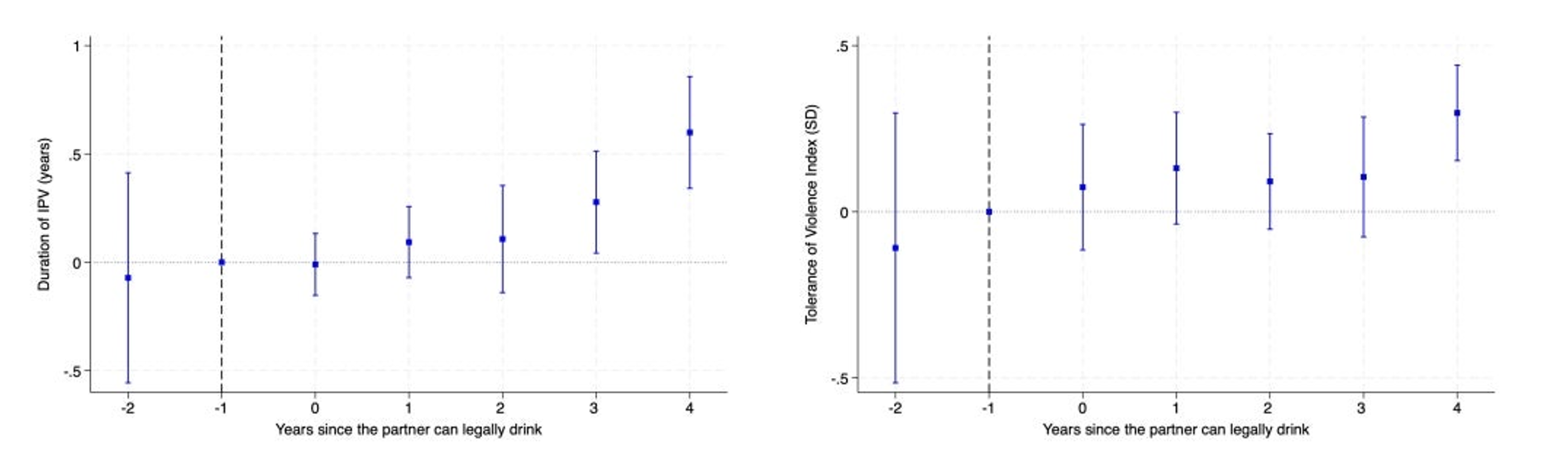
In the long run, women in states where MLDA is lower report having experienced violence for six additional months on average (Figure 2). I also find that these wives’ greater exposure to violence increases their tolerance towards IPV by up to 0.3 standard deviations four years after the partner has been legally allowed to drink (that is, once he has reached the higher MLDA of 25). These findings suggest that the longer the duration of violence, the more the victims may adopt the coping mechanism of changing their attitudes to find violence acceptable.
Figure 2. Long-term effects of IPV on tolerance
Notes: i) The vertical bars show 90% confidence intervals calculated using robust standard errors clustered at the state and age at the time of interview. ii) The estimated coefficient before the partner is legally allowed to drink is insignificant and close to zero.
Takeaways and policy implications
There are two main takeaways from this study: First, a short term rise in the prevalence of IPV does not lead to a shift in the victims’ attitudes toward violence. Instead, the length of exposure to abuse is the crucial factor in changing victims’ acceptance of violence. Indeed, evidence indicates that long-term exposure to violence shifts women’s attitudes towards violence. This suggests that over time, victims may normalise and rationalise the violence inflicted on them as a coping mechanism if they do not have an outside option. Taken together, the results may suggest the importance of early intervention strategies (such as school-based programmes targeting adolescents or counselling services for young couples) to disrupt the cycle of violence, prevent the normalisation of such behaviours, and enhance victims’ access to external outside options.
A version of this article first appeared on the World Bank blog Development Impact, as part of a series of posts by PhD students on the job market.
The World Bank Group authorizes the use of this material subject to the terms and conditions on its website, Legal.
Further Reading
- Frezza, E (2023), ‘Accepting the unacceptable: Does intimate partner violence shape the tolerance of violence?’, Working Paper.
- Goodfriend, Wind and Ximena B Arriaga (2018), “Cognitive Reframing of Intimate Partner Aggression: Social and Contextual Influences”, International Journal of Environmental Research and Public Health, 15(11): 2464.
- Jacob, Suraj and Sreeparna Chattopadhyay (2016), “Marriage Dissolution in India: Evidence from Census 2011”, Economic and Political Weekly, 51(33): 25-27. Available here.
- World Health Organization (2021), ‘Violence Against Women Prevalence Estimates, 2018’, Report.




16 January, 2024 




Comments will be held for moderation. Your contact information will not be made public.